Breed Summary
Golden Retriever
Dogs
Genetic Diversity
Health
Coat Type & Color
Body Size
Sex Chromosomes
OFA Summaries
Cause of Death
Dogs
Inventory
Dogs currently in the database:
Total = 247
Anonymous dogs = 247 (genotype only; no traits or health data)
Known dogs = 0
Genetic Diversity
Genetic Diversity
| Statistic | mean | median | max | min | |
|---|---|---|---|---|---|
| wdt_ID | Statistic | mean | median | max | min |
| 1 | Inbreeding (F) | 0.235 | 0.223 | 0.467 | 0.017 |
| 2 | Inbreeding (Fis) | 0.050 | 0.034 | 0.384 | -0.278 |
| 3 | Mean kinship (mk) | 0.045 | 0.043 | 0.113 | 0.004 |
| 4 | Heterozygosity (H0) | 0.262 | 0.266 | 0.352 | 0.170 |

Health
Health
Coat Type & Color
Coat Characteristics
Body Size
Body Size
Sex Chromosomes
Sex Chromosome Haplotypes
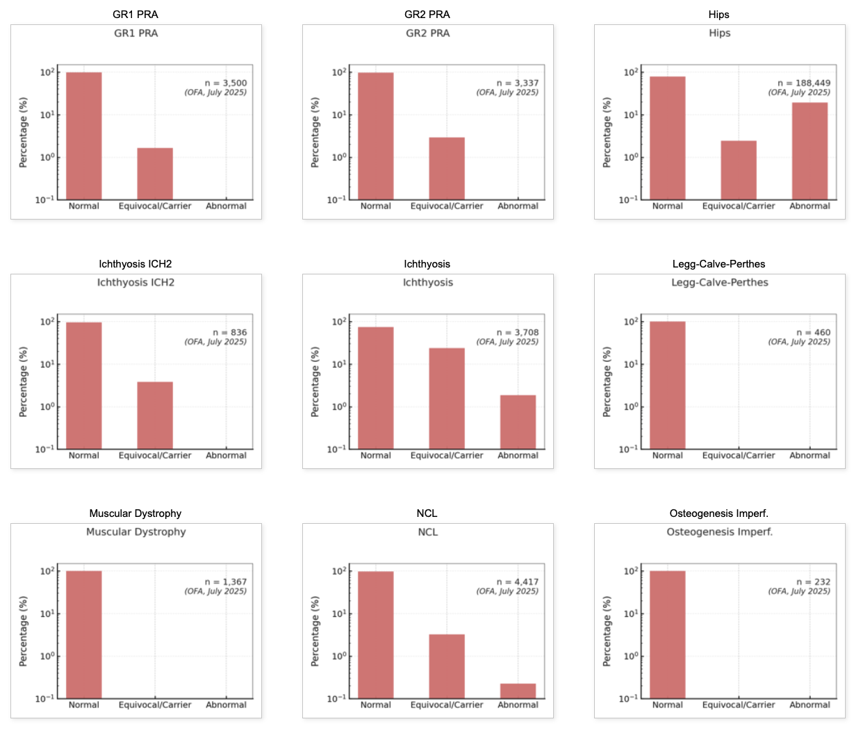
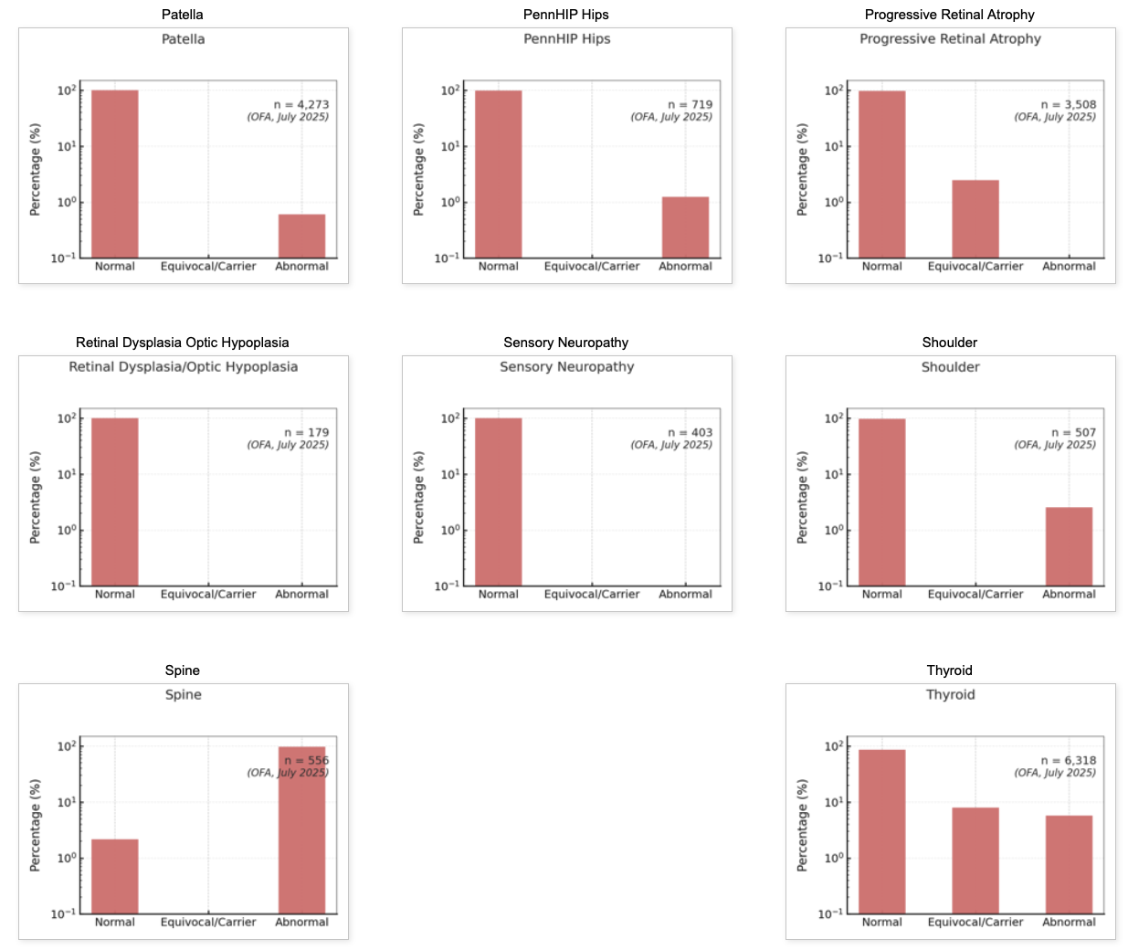
OFA Summaries


Tab Content
Cause of Death



Tab Content